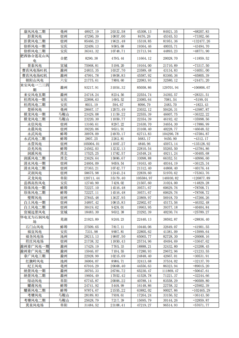
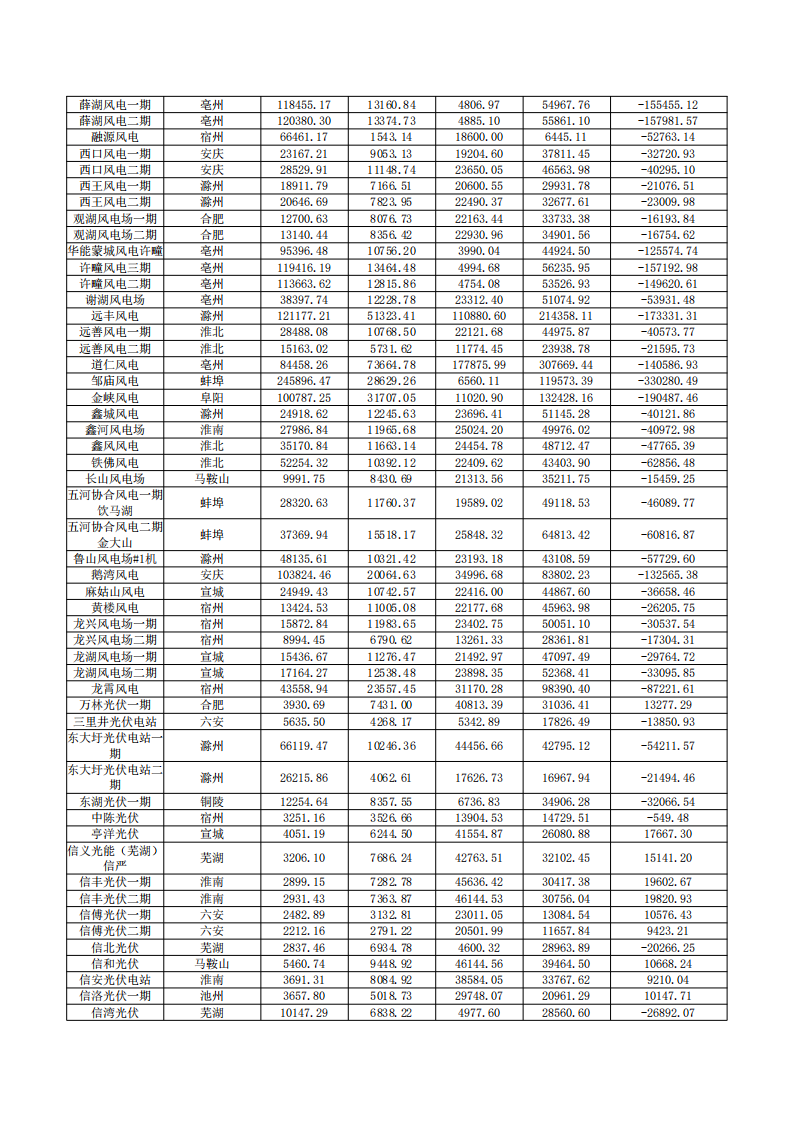
2026年1月安徽电网“两个细则“”考核和补偿信息再次公示
日期:2026-02-23 来源:安徽电力交易中心 浏览:373次 19
特别声明: 东电头条转载其他网站内容,出于传递更多信息而非盈利之目的,同时并不代表赞成其观点或证实其描述,内容仅供参考。版权归原作者所有,若有侵权,请联系我们删除。
凡来源注明东电头条的内容为东电头条原创,转载需获授权。
评论列表共有0条评论
阅读下一篇
- 国家电投长治沁县100MW光伏项目并网发电
-
国家电投长治沁县100MW光伏项目并网发电
-
- 西藏开投集团赴重庆调研 推进“藏电入渝”与清洁能源合作
-
西藏开投集团赴重庆调研 推进“藏电入渝”与清洁能源合作
-
- 卢在源:告别低价竞争,以技术和质量实现中国风电企业海外溢价
-
卢在源:告别低价竞争,以技术和质量实现中国风电企业海外溢价
-
- 四川南充2×1000MW燃煤发电项目智慧电厂设备采购招标
-
四川南充2×1000MW燃煤发电项目智慧电厂设备采购招标
-












发表评论